为丰富校园文化生活,增强学生身体素质,培养团队协作精神,12月4日,德州职院第二届广播体操比赛在综合训练馆举行。我院代表队荣获二等奖。

自比赛筹备以来,我院高度重视,精心组织。学院积极动员,选拔出一批身体素质好、纪律意识强的学生组成参赛队伍。为在比赛中展现最佳状态,参赛学子们利用课余时间刻苦训练,晚上的操场总能看到他们整齐划一的身影。训练过程中,学生会文艺部骨干同学全程指导,对每一个动作的幅度、力度、节奏都进行细致打磨,从队列排列到手势起落,从步伐移动到精神面貌,力求做到精准规范、协调统一。部分同学初期动作不够标准,便主动利用休息时间加练,同学之间也相互纠正、互帮互助,充分体现了团结协作的优良品质。

比赛当日,综合训练场内彩旗飘扬,气氛热烈。智能制造学院参赛方阵身姿挺拔、神情专注。伴随着熟悉而激昂的广播体操音乐,参赛队员们迅速进入状态,伸展、弯腰、踢腿、跳跃,每一个动作都刚劲有力、舒展流畅,将广播体操的力与美完美融合,充分展现了智能制造学院学子严谨认真的态度和积极向上的精神风貌。


此次广播体操比赛,不仅是对学生身体素质的一次检验,更是对学院凝聚力和向心力的一次展现。未来,学院将以此次比赛为契机,继续重视学生综合素质的培养,积极开展各类文体活动,丰富学生校园生活,引导学生以更加强健的体魄、更加饱满的精神状态投入到学习和生活中,为学院和学校的高质量发展贡献青春力量。
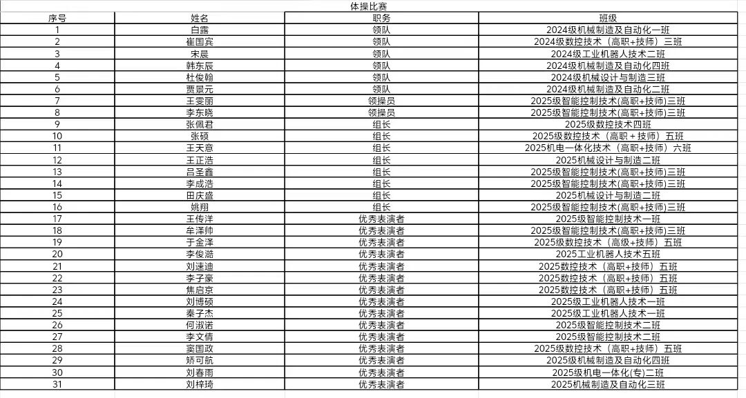
获奖名单公示

智能制造学院
2025年12月06日
撰稿丨丛兢 摄影丨丛兢 刘梦龙 谢京涛 责编 | 李昊泽 排版丨李昊泽 审核: 保俊 袁丽男 马逸群 田树军